[NY] How do I create a trust?
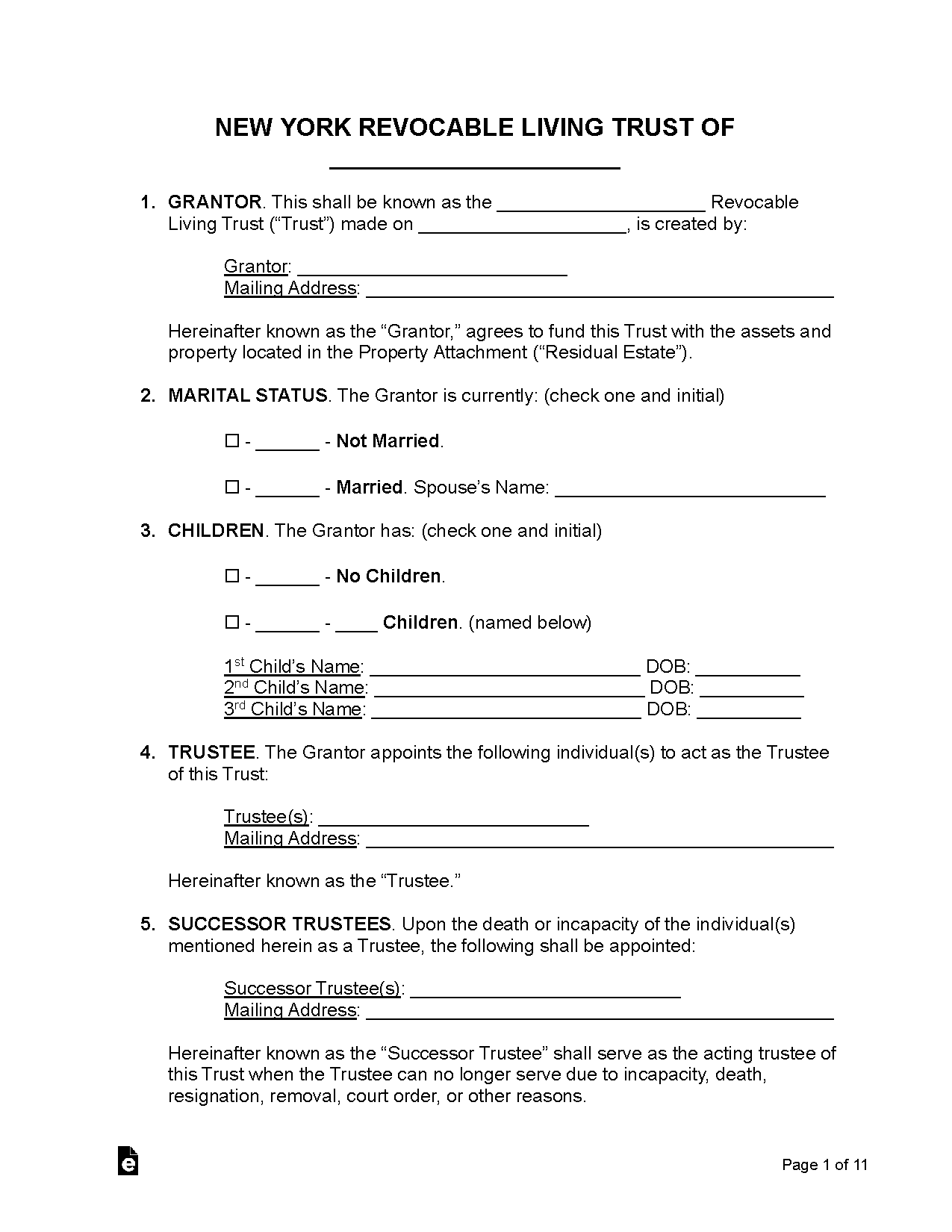
In New York, trusts are governed by the Estates, Powers and Trusts Law (EPTL). A revocable living trust is common—it lets you manage assets now and avoid probate later. The trust document should include:
- Name of the trust (e.g., The [Family Name] Revocable Living Trust).
- Your full name, date of execution, and declaration of intent.
- Trustee and successor trustee names and powers.
- Revocability during your lifetime, irrevocable at death.
- Beneficiaries and their shares.
Full Conversation

I need an attorney to create trust documents for me.

Have you already decided on the type of trust you’d like to establish?

Yes.

Are there specific assets or beneficiaries you’d like to include?

No.

Anything else the lawyer should know?

No.

Good afternoon. Welcome to AskaLawyer.

Hi, thanks.

Creating a trust involves a grantor (you), a trustee (you or someone you appoint), and beneficiaries. Even without naming assets or beneficiaries yet, you can still establish the structure.
- A revocable trust lets you keep control and change terms during your lifetime.
- An irrevocable trust provides asset protection and tax benefits but is harder to change.
The trust must clearly name the trust, declare intent, identify the trustee and successor, outline trustee powers, and specify beneficiaries. It should be signed and notarized according to state law.

I understand. I need help creating the trust document. Can I create it myself or can you help?

You can use templates online. If you prepare something, I can review it. Or I can draft something from scratch for you to understand every part.

The templates I found online are complicated and not what I had in mind. I have a name I’d like to give to the trust. Perhaps you could help draft something from scratch so I can understand it.

Sure thing. What state are you in?

New York.

In New York, trusts are governed by the Estates, Powers and Trusts Law (EPTL). A revocable living trust is common—it lets you manage assets now and avoid probate later. The trust document should include:
- Name of the trust (e.g., The [Family Name] Revocable Living Trust).
- Your full name, date of execution, and declaration of intent.
- Trustee and successor trustee names and powers.
- Revocability during your lifetime, irrevocable at death.
- Beneficiaries and their shares.

I understand. Can I send a draft for you to review?

I’m glad to help in a new chat, my friend.
