Skip to main content

[DE] Do I need to include assets with named beneficiaries in a will, and what witness or notarization requirements apply?

Liz
Liz

43,836 satisfied customers

View context
Solved

With the will, it would just be for those things not already containing a beneficiary. You also would not need a probate if it's only personal property usually.

You can also list beneficiaries for the bank accounts, to avoid probate of those as well.

You do usually need two unrelated witnesses (12 DE Code § 202 (a)(2)), and you can have things notarized at your bank.

It's often good to have more than one copy of the will, but with a simple will, you should be able to avoid probate if all larger assets have a beneficiary already named such as with the bank accounts.

0

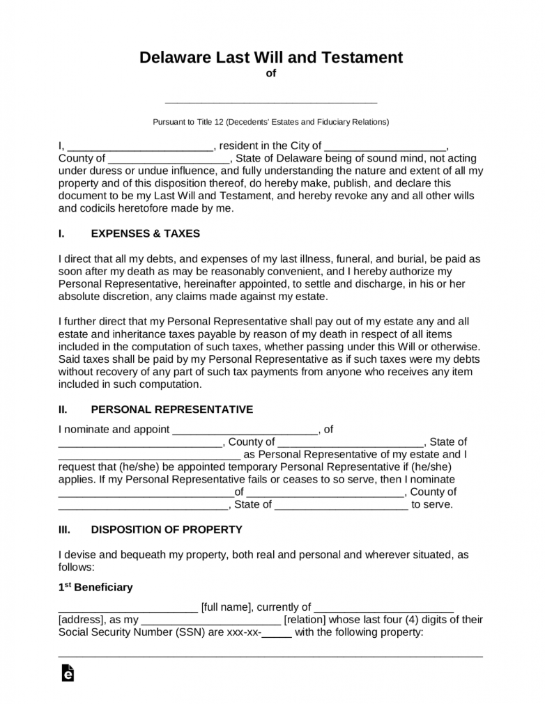
Delaware Last Will and Testament

Full Conversation


I'm traveling to Italy in 2 weeks and need a will. I have life insurance and two investment accounts. My children are all beneficiaries of those accounts. Do I need to make any direction about those monies in the will? Also, what formalities are required for witnesses, etc.? Thanks

Lexi

Lexi, Chatbot

I understand that preparing a will can be a bit overwhelming, especially with your upcoming travel plans. Have you already drafted a will, or are you starting from scratch?

I don't know

Lexi

Lexi, Chatbot

Are there any specific assets or personal belongings you want to ensure are addressed in the will beyond your life insurance and investment accounts?

No specific assets that need to be listed in the will. My will expired many years ago.

Liz

Liz

Hi there! My name is Liz and I’ve been an attorney for more than a decade, and I am here to assist with your legal concerns. So I can best help, are the insurance and accounts your only assets?

I have some furniture and a car. The jewelry and musical instruments will be passed outside of the will.

Liz

Liz

Do you own a home?

No. I am also a Delaware attorney. For me, 43 years. I do corporate law. I have made all arrangements for burial, etc. I'm pulling all of it together and then will give copies to the children. I will make arrangements for my will so that it can be found easily without going through a bank vault. I do have bank accounts in my name. I pay all my bills monthly so no debt.

I just need a very simple will. How do I get to that? Does Delaware require any other formalities besides 2 witnesses and a notary?

Liz

Liz

With the will, it would just be for those things not already containing a beneficiary. You also would not need a probate if it's only personal property usually.

You can also list beneficiaries for the bank accounts, to avoid probate of those as well.

You do usually need two unrelated witnesses (12 DE Code § 202 (a)(2)), and you can have things notarized at your bank.

It's often good to have more than one copy of the will, but with a simple will, you should be able to avoid probate if all larger assets have a beneficiary already named such as with the bank accounts.

Yes, all the money, with the exception of my bank accounts, have beneficiaries. Do I need to designate the car?

Probably not. It's old and will likely be replaced soon.

Liz

Liz

You could designate the car with the DMV, or list it in the will. It doesn't usually need probate unless of significant value.

Liz

Liz

43,836 satisfied customers

Liz
Welcome! Have a similar question?

12 lawyers online now

0:00

By messaging AskALawyer, you agree to our Terms and Privacy Policy.

Disclaimer


By messaging AskaLawyer.com, you agree to our Terms and have read our Privacy Policy.

The information provided on AskaLawyer.com is for general informational purposes only and does not constitute legal advice. While we strive to ensure the accuracy and timeliness of the information presented, we make no guarantees regarding its completeness or applicability to your specific circumstances.

Use of this website does not create an attorney-client relationship between you and AskaLawyer.com or any of its attorneys. Communications through this website, including any responses from attorneys, are not privileged or confidential. For advice tailored to your individual situation, we recommend consulting a licensed attorney in your jurisdiction.

AskaLawyer.com disclaims any liability for actions taken or not taken based on the content of this site. We are not responsible for any third-party content that may be accessed through this website. Reliance on any information provided herein is solely at your own risk.

Ask a Lawyer Logo
Ask a Lawyer Logo
Intake Questions
Step  of 3
Loading...

What's your legal question?

Lexi, Chatbot

How would you like your legal question to be answered?

Online

Legal AI

Using ChatGPT 4o

Loading...

How do you like to pay?

By proceeding with payment, you agree to our Terms and Privacy Policy. You authorize us to charge $ today and $ thereafter until canceled. You may cancel anytime in the My Account section to stop future charges.

Total Due:

After purchasing, your chat will begin with an attorney.

By proceeding with payment, you agree to our Terms and Privacy Policy. You authorize us to charge $ today and $ thereafter until canceled. You may cancel anytime in the My Account section to stop future charges.

Total Due:

After purchasing, your chat will begin with an attorney.

After connecting, your chat will begin with an attorney. After choosing, your chat will continue with Legal AI.

It looks like you already have an account with Ask a Lawyer.

We have sent you a magic link to . Click the link in your email to sign in and continue your chat.

spin

Step of 6 •

You'll receive an email at as soon as the lawyer joins the conversation 🙏🏻😊

Over 90% of lawyers connect within 5 minutes. If you're not online at that moment, don't worry — the lawyer will reply to your message while you're away.

You're also welcome to stay in the chat while waiting to be connected 💬✨

Waiting for lawyer

We couldn't send your message. Please try again.

Your lawyer will reply as soon as possible

If there’s a delay, please don’t worry. Your chat will stay open, and they’ll get back to you as soon as they can. There’s no rush on your end either. You’ll receive an email notification as soon as there’s a new message.

You've reached your AI chat limit

Upgrade your plan to continue chatting and get instant domain-specific answers.

0:00