Skip to main content

[NV] Which state should I use for a small estate affidavit when my son lived in one state, died in another, and I live in neither?

Howardk06131
Howardk06131

3,365 satisfied customers

View context
Solved

If your son was domiciled in Nevada at the time of his death this is the appropriate state to file. Jurisdiction is where the deceased was considered domiciled, not where they died. (NV Rev Stat § 146.080)

It must be filed in Washoe County which is Reno. You can get the form, fill it out, and notarize. (NV Rev Stat § 136.010) A California notary can work. How much is the value of the entire estate?

0

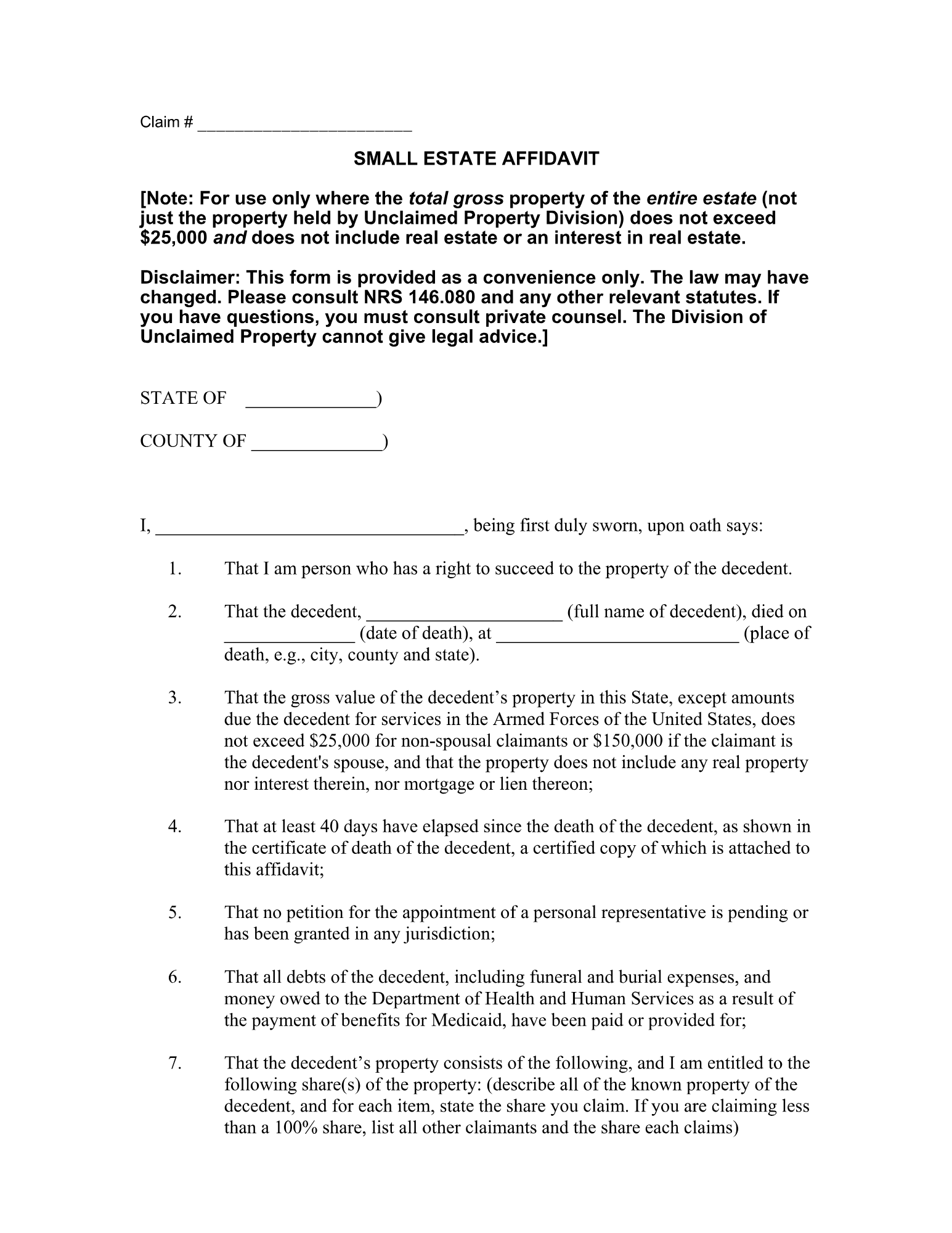
Nevada Small Estate Affidavit

Full Conversation


I am filling out a small estate affidavit for my son who passed away on 07/31/2025. He lived in Reno, NV, passed away in Roseburg, OR and I am in CA. Which state do I use to fill out the small estate affidavit for.

Lexi

Lexi, Chatbot

Where are you located? It matters because laws vary by location.

I live in both CA and TX. I am in CA right now.

Lexi

Lexi, Chatbot

Has anything been filed or reported?

Just the death certificate from the funeral home in Roseburg OR.

Lexi

Lexi, Chatbot

In this situation, the appropriate jurisdiction for filing a small estate affidavit is typically determined by the state where the deceased was domiciled at the time of death. Since your son lived in Reno, Nevada, you would generally use Nevada's small estate procedures.

However, given the complexities of your situation, including your residence in California and Texas, and the death occurring in Oregon, it may be prudent to consult with a legal professional to ensure compliance with all relevant state laws and to address any potential jurisdictional issues.

If you need further assistance or wish to explore specific forms, please let me know.

Thank you.

Lexi

Lexi, Chatbot

You're welcome. If you have any more questions or need further assistance, feel free to ask.

Howardk06131

Howardk06131

Hi there, thank you for your question. I’m Howard, a legal expert.

Hi Howard. Do I need to type my question in again or can you read it from above?

I just used your forms online and I did CA so I need to change it? How do I get it notarized in NV if I do not live there? He did not own any real estate or anything for that matter.

Howardk06131

Howardk06131

If your son was domiciled in Nevada at the time of his death this is the appropriate state to file. Jurisdiction is where the deceased was considered domiciled, not where they died. (NV Rev Stat § 146.080)

It must be filed in Washoe County which is Reno. You can get the form, fill it out, and notarize. (NV Rev Stat § 136.010) A California notary can work. How much is the value of the entire estate?

Zero. He was staying at a motel that I put him in to keep him off the streets.

Howardk06131

Howardk06131

I am sorry to hear this and so sorry for you. So there is nothing to his estate?

I am hoping that the money I sent him right before he passed is still in his bank. I sent him $4000.00 to purchase an RV and he did not make that purchase before he passed. The bank will not help me because I am not on his account so that is why I am doing a small estate affidavit.

I am trying to close his GO2bank account. I would send him money through Cash App. I have all his banking information.

Howardk06131

Howardk06131

Yes that makes sense. You have to be the legal representative to have them release that and then the funds. File it in the Second Judicial District Court of Nevada where he lived. They will then issue the authority to do that. You can then, in the name of the estate, obtain any of his remaining assets. If you have any questions as it goes forward let me know here and happy to assist.

So I can have it notarized here in CA and then file it in NV?

Howardk06131

Howardk06131

Yes you can do that.

Thank you so much for your help. I will give it a try.

Howardk06131

Howardk06131

You're very welcome! I'm glad I could help. If you have any more questions or need further assistance as you go through the process, feel free to reach out.

Howardk06131

Howardk06131

3,365 satisfied customers

Howardk06131
Welcome! Have a similar question?

12 lawyers online now

0:00

By messaging AskALawyer, you agree to our Terms and Privacy Policy.

Queeneth E. Esq
Queeneth E. Esq

Commercial Contracts Attorney

4.61 (5,738)

[MI] What should a surviving spouse do when bank demands letters of authority?

10

3

Answered 1 week ago

Disclaimer


By messaging AskaLawyer.com, you agree to our Terms and have read our Privacy Policy.

The information provided on AskaLawyer.com is for general informational purposes only and does not constitute legal advice. While we strive to ensure the accuracy and timeliness of the information presented, we make no guarantees regarding its completeness or applicability to your specific circumstances.

Use of this website does not create an attorney-client relationship between you and AskaLawyer.com or any of its attorneys. Communications through this website, including any responses from attorneys, are not privileged or confidential. For advice tailored to your individual situation, we recommend consulting a licensed attorney in your jurisdiction.

AskaLawyer.com disclaims any liability for actions taken or not taken based on the content of this site. We are not responsible for any third-party content that may be accessed through this website. Reliance on any information provided herein is solely at your own risk.

Ask a Lawyer Logo
Ask a Lawyer Logo
Intake Questions
Step  of 3
Loading...

Lexi, Chatbot

How would you like your legal question to be answered?

Online

Legal AI

Using ChatGPT 4o

Loading...

How do you like to pay?

By proceeding with payment, you agree to our Terms and Privacy Policy. You authorize us to charge $ today and $ thereafter until canceled. You may cancel anytime in the My Account section to stop future charges.

Total Due:

After purchasing, your chat will begin with an attorney.

By proceeding with payment, you agree to our Terms and Privacy Policy. You authorize us to charge $ today and $ thereafter until canceled. You may cancel anytime in the My Account section to stop future charges.

Total Due:

After purchasing, your chat will begin with an attorney.

After connecting, your chat will begin with an attorney.

After choosing, your chat will continue with Legal AI.

It looks like you already have an account with Ask a Lawyer.

We have sent you a magic link to . Click the link in your email to sign in and continue your chat.

spin

Step of 6 •

You'll receive an email at as soon as the lawyer joins the conversation 🙏🏻😊

Over 90% of lawyers connect within 5 minutes. If you're not online at that moment, don't worry — the lawyer will reply to your message while you're away.

You're also welcome to stay in the chat while waiting to be connected 💬✨

Waiting for lawyer

0:00