Skip to main content

[CA] What makes a postnuptial agreement legally valid?

CA Family

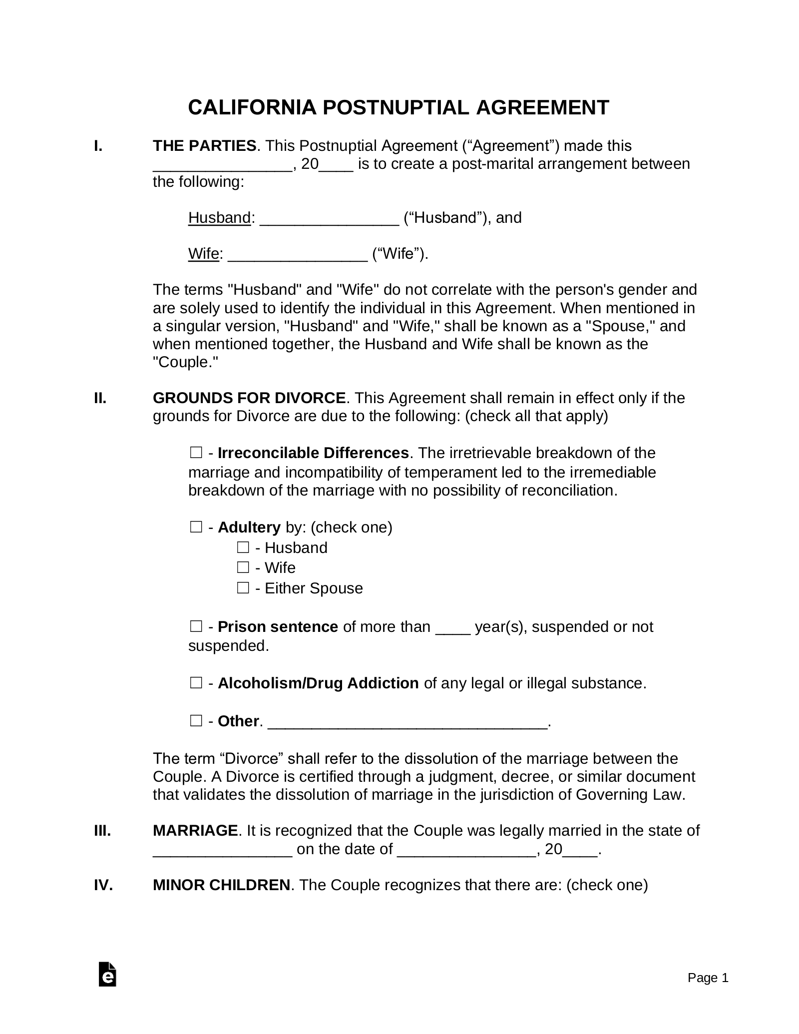
My husband and I would like to do a postnup. It is pretty simple and clean. We each agree to keep all of our marital assets, money, etc., separate and not have claims on each other’s in the event of a divorce. Is completing and signing the postnup form here and taking it to a notary sufficient to protect one another?

13

5

Brandon
Brandon

16,155 satisfied customers

View context
Solved

What Are the Minimum Legal Requirements?
At an absolute minimum, a valid postnup in California must:

  • Be in writing.
  • Be signed by both spouses.
  • Involve full and fair disclosure of each party’s assets, debts, income, and financial obligations.
  • Not be based on fraud, coercion, or undue influence.
  • Not be unconscionable at the time it was signed.
  • Be voluntarily entered into, with both parties understanding the rights they may be giving up.

So to directly answer your question:

No, a template and notarization alone is not sufficient to secure a valid postnup in California.

A basic template might help as a starting point, and notarization can help show the agreement was voluntarily signed, but the courts will look much deeper—especially at disclosure and fairness.

What Should You Do to Strengthen the Agreement?
To help ensure that your postnuptial agreement will hold up in court if ever challenged, here’s what I recommend:

  • Exchange Full Financial Disclosures
    • Each of you should provide the other with a full accounting of your assets, debts, income, and expenses.
    • This should be in writing and attached to the agreement.
    • Include supporting documentation (bank statements, property valuations, etc.).
  • Consider Independent Legal Counsel
    • While not legally required, it’s strongly advised that each spouse consult their own attorney.
    • This helps prove the agreement was entered into voluntarily and with full understanding.
    • If only one of you uses an attorney, the other should sign a written waiver acknowledging they were advised to seek counsel.
  • Avoid Any Pressure or Ultimatums
    • Even the appearance of coercion can render a postnup unenforceable.
    • If one spouse is reluctant, give them time and space to review and consider.
  • Make Sure the Terms Are Fair
    • An agreement that heavily favors one spouse—especially without counsel—can be thrown out as "unconscionable."
  • Notarize It
    • While not required under California law, notarization adds a layer of formality and helps later prove authenticity and voluntariness.

Common Pitfalls to Avoid

  • Skipping financial disclosures.
  • Using a vague or overly generic template.
  • Failing to document that both parties were informed of their right to legal advice.
  • Including unenforceable terms like child custody or waiving child support.

Your Next Steps
To move forward, I suggest you and your husband:

  • Start by having an open conversation about your goals for the agreement.
  • Gather your financial documents and prepare disclosures for each other.
  • Review a solid California-specific postnuptial template (I can help locate one if needed).
  • Decide whether you each want to hire your own attorney. If not, document that you each had the opportunity to do so.
  • Finalize the agreement, sign, and notarize it.
  • Keep a copy in a secure place and consider filing a copy with a lawyer or storing it with your estate planning documents.

0

Postnuptial Agreement

Full Conversation


My husband and I would like to do a postnup. It is pretty simple and clean. We each agree to keep all of our marital assets, money, etc., separate and not have claims on each other’s in the event of a divorce. Is completing and signing the postnup form here and taking it to a notary sufficient to protect one another?

Lexi

Lexi, Chatbot

Have you already taken any steps or actions regarding this issue?

Just paid for a postnup form here that has been filled out and need to download. Other than that, no.

Lexi

Lexi, Chatbot

Is there anything else the Lawyer should know before I connect you? Rest assured they’ll be able to help with your postnup agreement.

Nothing else

Brandon

Brandon

Hi there and welcome to AskaLawyer. My name is Brandon and I'm an attorney. I'd be happy to help you out today. Please note that this discussion is for guidance only and does not constitute an Attorney-Client Relationship. My answers and comments should not be considered legal advice.

Please also note that I am human, that I often need to research your answer to give you an accurate response, that I work with other customers and get up from time to time. So please be patient while waiting for a response. If more than 30 minutes have passed, please feel free to reach out.

Brandon

Brandon

Where are you located?

Hi Brandon, we are in California

Brandon

Brandon

How can I assist?

I need to know the minimum my husband and I need to do to properly secure a postnup in California. Would a template from here and getting it properly notarized be sufficient?

Brandon

Brandon

What Are the Minimum Legal Requirements?
At an absolute minimum, a valid postnup in California must:

  • Be in writing.
  • Be signed by both spouses.
  • Involve full and fair disclosure of each party’s assets, debts, income, and financial obligations.
  • Not be based on fraud, coercion, or undue influence.
  • Not be unconscionable at the time it was signed.
  • Be voluntarily entered into, with both parties understanding the rights they may be giving up.

So to directly answer your question:

No, a template and notarization alone is not sufficient to secure a valid postnup in California.

A basic template might help as a starting point, and notarization can help show the agreement was voluntarily signed, but the courts will look much deeper—especially at disclosure and fairness.

What Should You Do to Strengthen the Agreement?
To help ensure that your postnuptial agreement will hold up in court if ever challenged, here’s what I recommend:

  • Exchange Full Financial Disclosures
    • Each of you should provide the other with a full accounting of your assets, debts, income, and expenses.
    • This should be in writing and attached to the agreement.
    • Include supporting documentation (bank statements, property valuations, etc.).
  • Consider Independent Legal Counsel
    • While not legally required, it’s strongly advised that each spouse consult their own attorney.
    • This helps prove the agreement was entered into voluntarily and with full understanding.
    • If only one of you uses an attorney, the other should sign a written waiver acknowledging they were advised to seek counsel.
  • Avoid Any Pressure or Ultimatums
    • Even the appearance of coercion can render a postnup unenforceable.
    • If one spouse is reluctant, give them time and space to review and consider.
  • Make Sure the Terms Are Fair
    • An agreement that heavily favors one spouse—especially without counsel—can be thrown out as "unconscionable."
  • Notarize It
    • While not required under California law, notarization adds a layer of formality and helps later prove authenticity and voluntariness.

Common Pitfalls to Avoid

  • Skipping financial disclosures.
  • Using a vague or overly generic template.
  • Failing to document that both parties were informed of their right to legal advice.
  • Including unenforceable terms like child custody or waiving child support.

Your Next Steps
To move forward, I suggest you and your husband:

  • Start by having an open conversation about your goals for the agreement.
  • Gather your financial documents and prepare disclosures for each other.
  • Review a solid California-specific postnuptial template (I can help locate one if needed).
  • Decide whether you each want to hire your own attorney. If not, document that you each had the opportunity to do so.
  • Finalize the agreement, sign, and notarize it.
  • Keep a copy in a secure place and consider filing a copy with a lawyer or storing it with your estate planning documents.

Thank you, that helps.

Brandon

Brandon

You’re very welcome.

Brandon

Brandon

16,155 satisfied customers

Brandon
Welcome! Have a similar question?

12 lawyers online now

0:00

By messaging AskALawyer, you agree to our Terms and Privacy Policy.

Disclaimer


By messaging AskaLawyer.com, you agree to our Terms and have read our Privacy Policy.

The information provided on AskaLawyer.com is for general informational purposes only and does not constitute legal advice. While we strive to ensure the accuracy and timeliness of the information presented, we make no guarantees regarding its completeness or applicability to your specific circumstances.

Use of this website does not create an attorney-client relationship between you and AskaLawyer.com or any of its attorneys. Communications through this website, including any responses from attorneys, are not privileged or confidential. For advice tailored to your individual situation, we recommend consulting a licensed attorney in your jurisdiction.

AskaLawyer.com disclaims any liability for actions taken or not taken based on the content of this site. We are not responsible for any third-party content that may be accessed through this website. Reliance on any information provided herein is solely at your own risk.

Ask a Lawyer Logo
Ask a Lawyer Logo
Intake Questions
Step  of 3
Loading...

Lexi, Chatbot

How would you like your legal question to be answered?

Online

Legal AI

Using ChatGPT 4o

Loading...

How do you like to pay?

By proceeding with payment, you agree to our Terms and Privacy Policy. You authorize us to charge $ today and $ thereafter until canceled. You may cancel anytime in the My Account section to stop future charges.

Total Due:

After purchasing, your chat will begin with an attorney.

By proceeding with payment, you agree to our Terms and Privacy Policy. You authorize us to charge $ today and $ thereafter until canceled. You may cancel anytime in the My Account section to stop future charges.

Total Due:

After purchasing, your chat will begin with an attorney.

After connecting, your chat will begin with an attorney.

After choosing, your chat will continue with Legal AI.

It looks like you already have an account with Ask a Lawyer.

We have sent you a magic link to . Click the link in your email to sign in and continue your chat.

spin

Step of 6 •

You'll receive an email at as soon as the lawyer joins the conversation 🙏🏻😊

Over 90% of lawyers connect within 5 minutes. If you're not online at that moment, don't worry — the lawyer will reply to your message while you're away.

You're also welcome to stay in the chat while waiting to be connected 💬✨

Waiting for lawyer

0:00