Skip to main content

[FL] What kind of contract do I need to legally hire an influencer?

Hello, I own a real estate company and I'm hiring an influencer for marketing purposes. In exchange for a marketing fee when the advertised property is sold, can you tell me what kind of contract I need and what laws apply?

22

8

Jon
Jon

556 satisfied customers

View context
Solved

Florida law (F.S. § 475.41) prohibits paying unlicensed individuals compensation tied to real estate transactions. A percentage based on a sale would be illegal.
You can legally hire an influencer, but only for marketing tasks, and you must pay a flat fee or retainer, not a commission.
You’ll need:

  • An Influencer Marketing Agreement (marketing duties only)
  • An NDA (to protect confidential info)

0

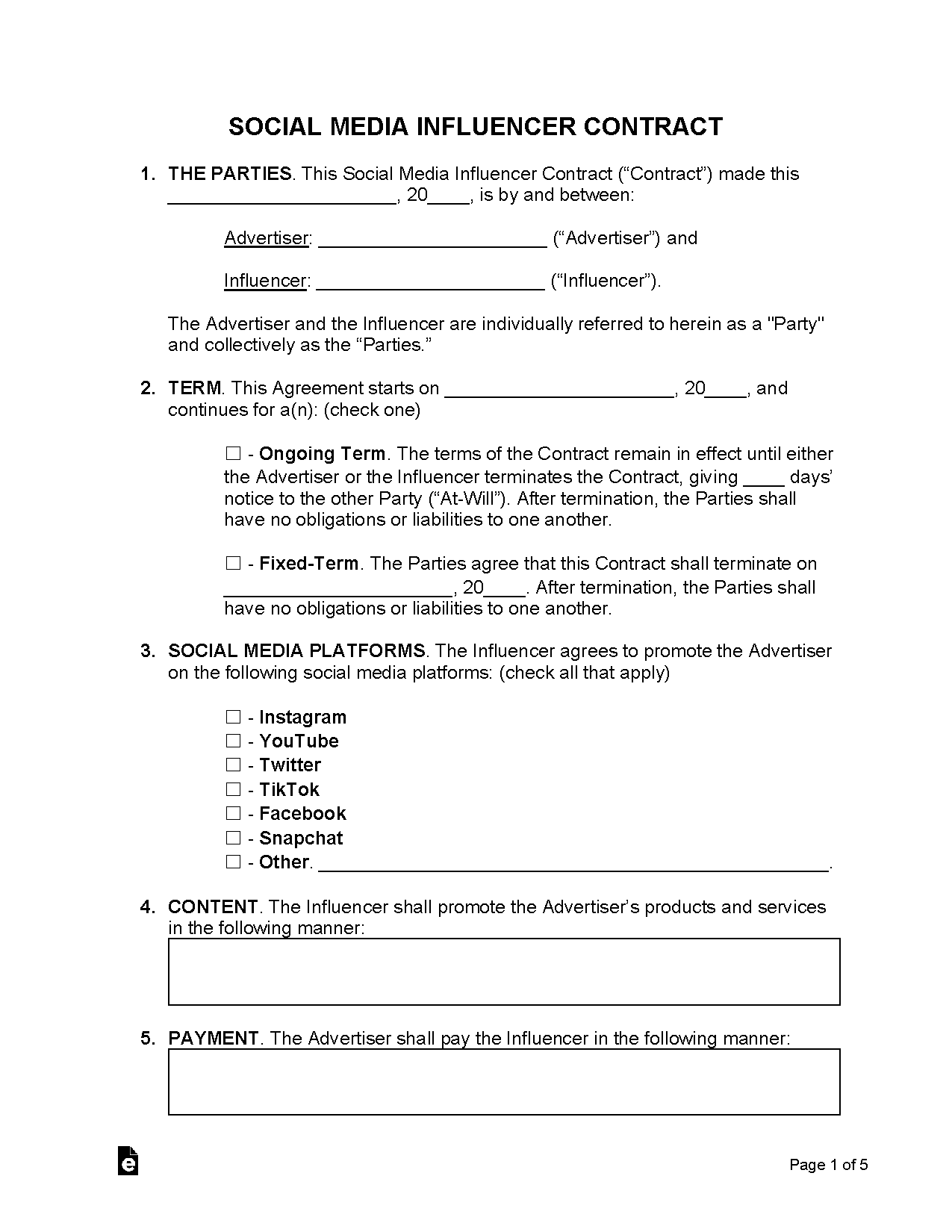
Social Media Influencer Contract

Full Conversation


Hello, I own a real estate company and I'm hiring an influencer for marketing purposes. In exchange for a marketing fee when the advertised property is sold, can you tell me what kind of contract I need and what laws apply?

Lexi

Lexi, Chatbot

What terms do you want included in the contract?

 NDA and a contract stating the marketing fee and obligations.

Lexi

Lexi, Chatbot

Have you worked with influencers before?

Yes.

Lexi

Lexi, Chatbot

Anything else the lawyer should know?

No.

Jon

Jon

Hello! I’m Jon, an attorney. Which state do you operate in? Will the influencer market specific properties or the agency as a whole?

I’m in Florida. I have the influencer already.

Jon

Jon

Great. Do you have a specific timeline for the agreement?

Yes—he’s being hired to market my listed properties, and he gets a percentage if the buyer comes through his advertising.

Jon

Jon

What percentage?

Between 1% and 2%, depending on price.

Jon

Jon

Anything else before I provide an answer?

It’s a narrow situation because Florida prohibits compensation to unlicensed persons.

Jon

Jon

Florida law (F.S. § 475.41) prohibits paying unlicensed individuals compensation tied to real estate transactions. A percentage based on a sale would be illegal.
You can legally hire an influencer, but only for marketing tasks, and you must pay a flat fee or retainer, not a commission.
You’ll need:

  • An Influencer Marketing Agreement (marketing duties only)
  • An NDA (to protect confidential info)

Perfect, thank you so much for your advice.

Jon

Jon

You’re welcome! Here to help anytime.

I’m very glad.

Jon

Jon

Great! If you need more help, feel free to reach out.

Likewise.

Jon

Jon

You’re very welcome!

Jon

Jon

556 satisfied customers

Jon
Welcome! Have a similar question?

12 lawyers online now

0:00

By messaging AskALawyer, you agree to our Terms and Privacy Policy.

Disclaimer


By messaging AskaLawyer.com, you agree to our Terms and have read our Privacy Policy.

The information provided on AskaLawyer.com is for general informational purposes only and does not constitute legal advice. While we strive to ensure the accuracy and timeliness of the information presented, we make no guarantees regarding its completeness or applicability to your specific circumstances.

Use of this website does not create an attorney-client relationship between you and AskaLawyer.com or any of its attorneys. Communications through this website, including any responses from attorneys, are not privileged or confidential. For advice tailored to your individual situation, we recommend consulting a licensed attorney in your jurisdiction.

AskaLawyer.com disclaims any liability for actions taken or not taken based on the content of this site. We are not responsible for any third-party content that may be accessed through this website. Reliance on any information provided herein is solely at your own risk.

Ask a Lawyer Logo
Ask a Lawyer Logo
Intake Questions
Step  of 3
Loading...

What's your legal question?

Lexi, Chatbot

How would you like your legal question to be answered?

Online

Legal AI

Using ChatGPT 4o

Loading...

How do you like to pay?

By proceeding with payment, you agree to our Terms and Privacy Policy. You authorize us to charge $ today and $ thereafter until canceled. You may cancel anytime in the My Account section to stop future charges.

Total Due:

After purchasing, your chat will begin with an attorney.

By proceeding with payment, you agree to our Terms and Privacy Policy. You authorize us to charge $ today and $ thereafter until canceled. You may cancel anytime in the My Account section to stop future charges.

Total Due:

After purchasing, your chat will begin with an attorney.

After connecting, your chat will begin with an attorney. After choosing, your chat will continue with Legal AI.

It looks like you already have an account with Ask a Lawyer.

We have sent you a magic link to . Click the link in your email to sign in and continue your chat.

spin

Step of 6 •

You'll receive an email at as soon as the lawyer joins the conversation 🙏🏻😊

Over 90% of lawyers connect within 5 minutes. If you're not online at that moment, don't worry — the lawyer will reply to your message while you're away.

You're also welcome to stay in the chat while waiting to be connected 💬✨

Waiting for lawyer

We couldn't send your message. Please try again.

Your lawyer will reply as soon as possible

If there’s a delay, please don’t worry. Your chat will stay open, and they’ll get back to you as soon as they can. There’s no rush on your end either. You’ll receive an email notification as soon as there’s a new message.

You've reached your AI chat limit

Upgrade your plan to continue chatting and get instant domain-specific answers.

0:00