Skip to main content

[MA] Can I send a Chapter 93A demand letter after being overcharged by an online company?

Legal Eagle
Legal Eagle

133,377 satisfied customers

View context
Solved

The short answer?

You can send a demand letter under Chapter 93A because the facts show misleading advertising. You can ask for your money back and for multiple damages if they refuse. You can sue if they ignore the letter. (MA Gen L ch 93a § 9)

That’s the short answer; here’s the long answer:

The description they gave during the live created a clear expectation that the lowest value item would be $250, and that is the type of misleading sales tactic 93A covers. You have evidence of what they said and what you received, which makes your claim stronger.

A 93A demand letter gives them thirty days to fix it, which is required before filing in court. You can ask for your refund and for the loss you suffered. If they do not respond or respond in bad faith, the court can award two or three times your damages. (MA Gen L ch 93a § 9(3))

You can also report the conduct to the state consumer office. Here is what you can do legally, step by step:

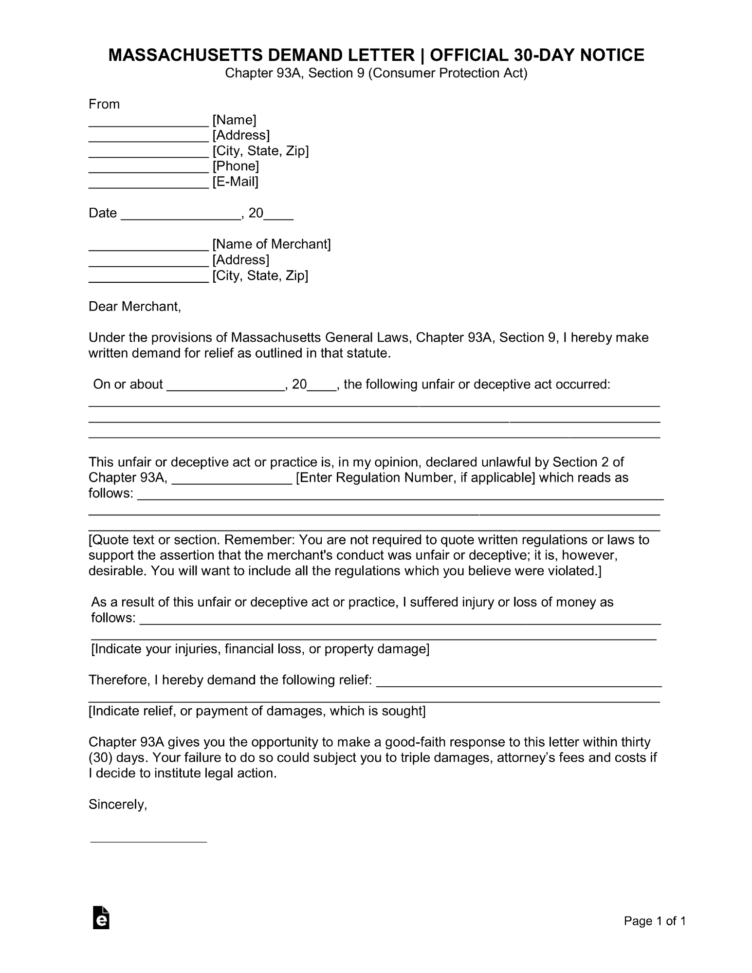
  1. Write a 93A demand letter that explains what they represented, what you paid, what you received, and what you want refunded.
  2. Send it by certified mail to the business address shown on their TikTok seller profile.
  3. Save screenshots of the live, the listing, the messages, their dismissive response, and the price of the product you actually received.
  4. If they do not fix this within thirty days, file in small claims court asking for your actual loss and multiple damages under 93A.
  5. File a complaint with the State Consumer Office.
  6. You can also report the TikTok seller through Tiktok's  ecommerce complaint form.

Does that help clarify things? I want to make sure I didn’t leave anything out.

0

Chapter 93A (Massachusetts) Demand Letter

Full Conversation


So I live in MA and I was reading on MA chapter 93A. I was overly charged by a company through TikTok. I’d like to send them a letter of intent.

Lexi

Lexi, Chatbot

I understand how frustrating it can be to feel overcharged by a company. Have you already attempted to resolve this issue directly with the company before considering legal action?

Yes.

Lexi

Lexi, Chatbot

What specific amount were you overcharged, and do you have any documentation or evidence of the transaction?

I do have evidence. I was charged 1,000% profit by being misled on what I was buying. This company operates on TikTok Live. When I messaged them with my problems nothing was done. I figured if I joined their live they would be better to talk to, and instead I was dismissed and talked down to. I intend to sue them for 1000% damages just as they charged me 1000% profit.

Legal Eagle

Legal Eagle

Hello, I’m Legal Eagle. I’m an attorney who works in your area of law and I’ll help you sort this out today. I’ve read what you shared, so let’s go over what’s happening and what your best next steps look like.

What did the company represent or promise during the TikTok live that caused you to believe you were purchasing something different from what you actually received?

They were showing golf clubs talking about golf club names and such. Then they proceeded to say floor is 250 ceiling is 600. I inquired about it on the live — all I was told was floor is 250 ceiling is 600. So intrigued, I clicked the shopping cart and it’s a Dorm Dudes golf package for $157 dollars. I was led to believe the least expensive thing in this box would be $250 dollars. Then the package arrives it’s a singular sleeve of golf balls. The whole pack of those balls is valued at $32 dollars.

Legal Eagle

Legal Eagle

Thanks for sharing those details. It sounds like a frustrating experience. Could you tell me when this transaction took place?

Order was placed on November 10th.

Legal Eagle

Legal Eagle

Got it, thanks. When you reached out to the company about this issue, did they provide any explanation or offer any resolution?

Their response was: "Our streamers do a disclaimer before every break to ensure everyone understands the breaking process. Were you unsure on how the break was occurring?"

Then they said: "Floor and ceiling break are for what are in the boxes," which is essentially them saying I paid for something from floor to ceiling.

Legal Eagle

Legal Eagle

Understood! So you're just wondering what it is you can do here, correct?

As long as you have everything you need to analyze the situation.

Legal Eagle

Legal Eagle

Ok! I just need a little time to draft up a high-quality answer. I'll be with you as soon as possible. It won't be terribly long, ok?

Ok man.

Legal Eagle

Legal Eagle

I'm so sorry about this situation! I want to address your situation with a detailed response, so if you have any questions, don’t hesitate to ask, because this law stuff can get complicated.

Legal Eagle

Legal Eagle

The short answer?

You can send a demand letter under Chapter 93A because the facts show misleading advertising. You can ask for your money back and for multiple damages if they refuse. You can sue if they ignore the letter. (MA Gen L ch 93a § 9)

That’s the short answer; here’s the long answer:

The description they gave during the live created a clear expectation that the lowest value item would be $250, and that is the type of misleading sales tactic 93A covers. You have evidence of what they said and what you received, which makes your claim stronger.

A 93A demand letter gives them thirty days to fix it, which is required before filing in court. You can ask for your refund and for the loss you suffered. If they do not respond or respond in bad faith, the court can award two or three times your damages. (MA Gen L ch 93a § 9(3))

You can also report the conduct to the state consumer office. Here is what you can do legally, step by step:

  1. Write a 93A demand letter that explains what they represented, what you paid, what you received, and what you want refunded.
  2. Send it by certified mail to the business address shown on their TikTok seller profile.
  3. Save screenshots of the live, the listing, the messages, their dismissive response, and the price of the product you actually received.
  4. If they do not fix this within thirty days, file in small claims court asking for your actual loss and multiple damages under 93A.
  5. File a complaint with the State Consumer Office.
  6. You can also report the TikTok seller through Tiktok's  ecommerce complaint form.

Does that help clarify things? I want to make sure I didn’t leave anything out.

I did report their TikTok how can I get the letter?

Legal Eagle

Legal Eagle

I hear you! You can write a simple 93A demand letter that states what they represented, what you paid, what you received, and that you want a refund. Send it by certified mail to the business address listed on their TikTok seller profile. You can also file a complaint with the state consumer office while you wait for their response.

Ok thanks.

Legal Eagle

Legal Eagle

For sure! Did I thoroughly address your question? Did I provide top-tier service to you? If the answer is no to either, please let me know so I can help! I know it's a lot.

Legal Eagle

Legal Eagle

133,377 satisfied customers

Criminal law, employment law, family law, landlord-tenant, and real estate law.

Legal Eagle
Welcome! Have a similar question?

12 lawyers online now

0:00

By messaging AskALawyer, you agree to our Terms and Privacy Policy.

Disclaimer


By messaging AskaLawyer.com, you agree to our Terms and have read our Privacy Policy.

The information provided on AskaLawyer.com is for general informational purposes only and does not constitute legal advice. While we strive to ensure the accuracy and timeliness of the information presented, we make no guarantees regarding its completeness or applicability to your specific circumstances.

Use of this website does not create an attorney-client relationship between you and AskaLawyer.com or any of its attorneys. Communications through this website, including any responses from attorneys, are not privileged or confidential. For advice tailored to your individual situation, we recommend consulting a licensed attorney in your jurisdiction.

AskaLawyer.com disclaims any liability for actions taken or not taken based on the content of this site. We are not responsible for any third-party content that may be accessed through this website. Reliance on any information provided herein is solely at your own risk.

Ask a Lawyer Logo
Ask a Lawyer Logo
Intake Questions
Step  of 3
Loading...

What's your legal question?

Lexi, Chatbot

How would you like your legal question to be answered?

Online

Legal AI

Using ChatGPT 4o

Loading...

How do you like to pay?

By proceeding with payment, you agree to our Terms and Privacy Policy. You authorize us to charge $ today and $ thereafter until canceled. You may cancel anytime in the My Account section to stop future charges.

Total Due:

After purchasing, your chat will begin with an attorney.

By proceeding with payment, you agree to our Terms and Privacy Policy. You authorize us to charge $ today and $ thereafter until canceled. You may cancel anytime in the My Account section to stop future charges.

Total Due:

After purchasing, your chat will begin with an attorney.

After connecting, your chat will begin with an attorney. After choosing, your chat will continue with Legal AI.

It looks like you already have an account with Ask a Lawyer.

We have sent you a magic link to . Click the link in your email to sign in and continue your chat.

spin

Step of 6 •

You'll receive an email at as soon as the lawyer joins the conversation 🙏🏻😊

Over 90% of lawyers connect within 5 minutes. If you're not online at that moment, don't worry — the lawyer will reply to your message while you're away.

You're also welcome to stay in the chat while waiting to be connected 💬✨

Waiting for lawyer

We couldn't send your message. Please try again.

Your lawyer will reply as soon as possible

If there’s a delay, please don’t worry. Your chat will stay open, and they’ll get back to you as soon as they can. There’s no rush on your end either. You’ll receive an email notification as soon as there’s a new message.

You've reached your AI chat limit

Upgrade your plan to continue chatting and get instant domain-specific answers.

0:00