Skip to main content

How do I name a spouse as primary beneficiary and children as contingent beneficiaries in a will?

Bruce
Bruce

22,760 satisfied customers

View context
Solved

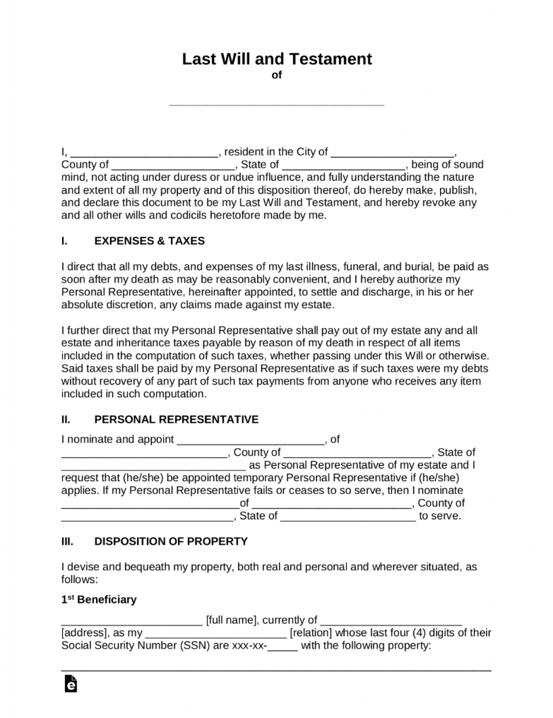
First, check the section where you designate your primary beneficiary. It should clearly state your spouse's full name as the sole beneficiary. Next, look for the contingent beneficiary section. This is where you should list your adult children's full names, indicating they will inherit if your spouse is no longer living.

0

Last Will and Testament (Will)

Full Conversation


I’m just looking to be sure I have this eform filled out the way I intend; just looking to have my spouse be the sole beneficiary and then if he is deceased then everything goes to our adult children.

We only have two vehicles and a couple bank accounts.

Bruce

Bruce

Welcome to our service. My name is Bruce and I have been practicing law for over forty years. Thank you for the opportunity to assist you today. Would you please share the specific legal matter you need assistance with?

I completed the Last Will and Testament; we are taking a trip out of the country and I just want to have something in place in the event something happens while we’re gone
I just want to be sure it shows everything goes to spouse and then if spouse is deceased, it goes to our adult children.

Thanks for your input!

Bruce

Bruce

Let's make sure your Last Will and Testament reflects your wishes.

Bruce

Bruce

First, check the section where you designate your primary beneficiary. It should clearly state your spouse's full name as the sole beneficiary. Next, look for the contingent beneficiary section. This is where you should list your adult children's full names, indicating they will inherit if your spouse is no longer living.

Bruce

Bruce

Does your document have these sections filled out as you intended?

From what source did you get the form you are using?

eForms

The first time I did it, I selected 50% spouse and 50% children but that’s not really what I wanted. I did go in and try again and I think if I just list spouse as beneficiary and then click a box for heir by law (by blood) it means what I originally intended. I just want to be sure I understand correctly. Thanks.

Bruce

Bruce

It sounds like you're on the right track with your Last Will and Testament. If you have any more questions or need further assistance, feel free to reach out. I'm here to help. Safe travels, and remember, you can always come back if you need any more help. Take care!

Ok thanks!

Bruce

Bruce

You're welcome! If you have any more questions in the future, don't hesitate to reach out. Have a great day and safe travels!

Bruce

Bruce

22,760 satisfied customers

Bruce
Welcome! Have a similar question?

12 lawyers online now

0:00

By messaging AskALawyer, you agree to our Terms and Privacy Policy.

Disclaimer


By messaging AskaLawyer.com, you agree to our Terms and have read our Privacy Policy.

The information provided on AskaLawyer.com is for general informational purposes only and does not constitute legal advice. While we strive to ensure the accuracy and timeliness of the information presented, we make no guarantees regarding its completeness or applicability to your specific circumstances.

Use of this website does not create an attorney-client relationship between you and AskaLawyer.com or any of its attorneys. Communications through this website, including any responses from attorneys, are not privileged or confidential. For advice tailored to your individual situation, we recommend consulting a licensed attorney in your jurisdiction.

AskaLawyer.com disclaims any liability for actions taken or not taken based on the content of this site. We are not responsible for any third-party content that may be accessed through this website. Reliance on any information provided herein is solely at your own risk.

Ask a Lawyer Logo
Ask a Lawyer Logo
Intake Questions
Step  of 3
Loading...

What's your legal question?

Lexi, Chatbot

How would you like your legal question to be answered?

Online

Legal AI

Using ChatGPT 4o

Loading...

How do you like to pay?

By proceeding with payment, you agree to our Terms and Privacy Policy. You authorize us to charge $ today and $ thereafter until canceled. You may cancel anytime in the My Account section to stop future charges.

Total Due:

After purchasing, your chat will begin with an attorney.

By proceeding with payment, you agree to our Terms and Privacy Policy. You authorize us to charge $ today and $ thereafter until canceled. You may cancel anytime in the My Account section to stop future charges.

Total Due:

After purchasing, your chat will begin with an attorney.

After connecting, your chat will begin with an attorney. After choosing, your chat will continue with Legal AI.

It looks like you already have an account with Ask a Lawyer.

We have sent you a magic link to . Click the link in your email to sign in and continue your chat.

spin

Step of 6 •

You'll receive an email at as soon as the lawyer joins the conversation 🙏🏻😊

Over 90% of lawyers connect within 5 minutes. If you're not online at that moment, don't worry — the lawyer will reply to your message while you're away.

You're also welcome to stay in the chat while waiting to be connected 💬✨

Waiting for lawyer

We couldn't send your message. Please try again.

Your lawyer will reply as soon as possible

If there’s a delay, please don’t worry. Your chat will stay open, and they’ll get back to you as soon as they can. There’s no rush on your end either. You’ll receive an email notification as soon as there’s a new message.

You've reached your AI chat limit

Upgrade your plan to continue chatting and get instant domain-specific answers.

0:00