Skip to main content

Can I list a return date later than planned in a child travel consent form if the exact return date is uncertain?

Legal Eagle
Legal Eagle

133,377 satisfied customers

View context
Solved

For the permission form, it's generally okay to put a return date that is sufficiently in the future to cover your plans. This way, you have flexibility if your return date changes.

However, it's always a good idea to check if there are any specific requirements or guidelines from the authorities or airline regarding the exact date.

0

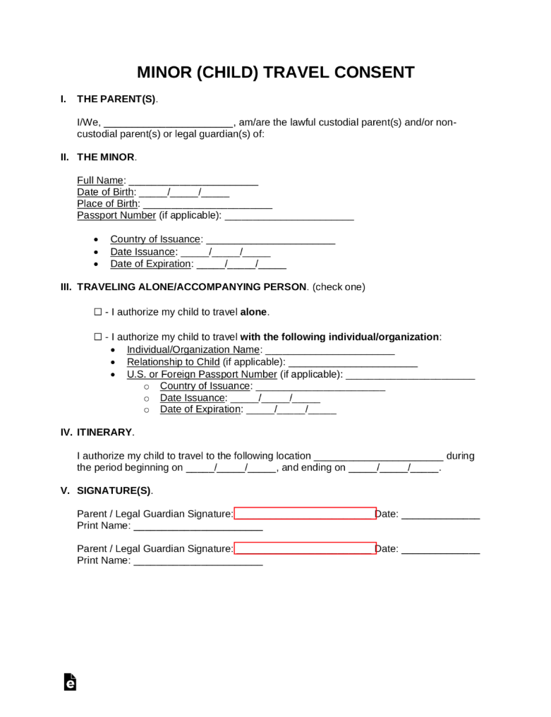
Minor (Child) Travel Consent Form

Full Conversation


Hi there. My son will travel to Guatemala with his mom, and I plan to meet them there later. We are not sure what date we will return. Is it okay to fill out the permission form with a date sufficiently in the future that we are sure we will return by, or does it have to be an exact date? On the return trip, we plan to travel together.

Lexi

Lexi, Chatbot

Is there anything else the lawyer should know before I connect you? Rest assured that they'll be able to help you with your situation.

That's it.

Legal Eagle

Legal Eagle

Hi there! I'm here to help you with your travel permission form question. Let's make sure everything is in order for your son's trip to Guatemala.

Legal Eagle

Legal Eagle

For the permission form, it's generally okay to put a return date that is sufficiently in the future to cover your plans. This way, you have flexibility if your return date changes.

However, it's always a good idea to check if there are any specific requirements or guidelines from the authorities or airline regarding the exact date.

Legal Eagle

Legal Eagle

133,377 satisfied customers

Criminal law, employment law, family law, landlord-tenant, and real estate law.

Legal Eagle
Welcome! Have a similar question?

12 lawyers online now

0:00

By messaging AskALawyer, you agree to our Terms and Privacy Policy.

Disclaimer


By messaging AskaLawyer.com, you agree to our Terms and have read our Privacy Policy.

The information provided on AskaLawyer.com is for general informational purposes only and does not constitute legal advice. While we strive to ensure the accuracy and timeliness of the information presented, we make no guarantees regarding its completeness or applicability to your specific circumstances.

Use of this website does not create an attorney-client relationship between you and AskaLawyer.com or any of its attorneys. Communications through this website, including any responses from attorneys, are not privileged or confidential. For advice tailored to your individual situation, we recommend consulting a licensed attorney in your jurisdiction.

AskaLawyer.com disclaims any liability for actions taken or not taken based on the content of this site. We are not responsible for any third-party content that may be accessed through this website. Reliance on any information provided herein is solely at your own risk.

Ask a Lawyer Logo
Ask a Lawyer Logo
Intake Questions
Step  of 3
Loading...

What's your legal question?

Lexi, Chatbot

How would you like your legal question to be answered?

Online

Legal AI

Using ChatGPT 4o

Loading...

How do you like to pay?

By proceeding with payment, you agree to our Terms and Privacy Policy. You authorize us to charge $ today and $ thereafter until canceled. You may cancel anytime in the My Account section to stop future charges.

Total Due:

After purchasing, your chat will begin with an attorney.

By proceeding with payment, you agree to our Terms and Privacy Policy. You authorize us to charge $ today and $ thereafter until canceled. You may cancel anytime in the My Account section to stop future charges.

Total Due:

After purchasing, your chat will begin with an attorney.

After connecting, your chat will begin with an attorney. After choosing, your chat will continue with Legal AI.

It looks like you already have an account with Ask a Lawyer.

We have sent you a magic link to . Click the link in your email to sign in and continue your chat.

spin

Step of 6 •

You'll receive an email at as soon as the lawyer joins the conversation 🙏🏻😊

Over 90% of lawyers connect within 5 minutes. If you're not online at that moment, don't worry — the lawyer will reply to your message while you're away.

You're also welcome to stay in the chat while waiting to be connected 💬✨

Waiting for lawyer

We couldn't send your message. Please try again.

Your lawyer will reply as soon as possible

If there’s a delay, please don’t worry. Your chat will stay open, and they’ll get back to you as soon as they can. There’s no rush on your end either. You’ll receive an email notification as soon as there’s a new message.

You've reached your AI chat limit

Upgrade your plan to continue chatting and get instant domain-specific answers.

0:00