Skip to main content

How do I properly modify the purpose section of a caregiver agreement to reflect updated care responsibilities?

Liz
Liz

43,836 satisfied customers

View context
Solved

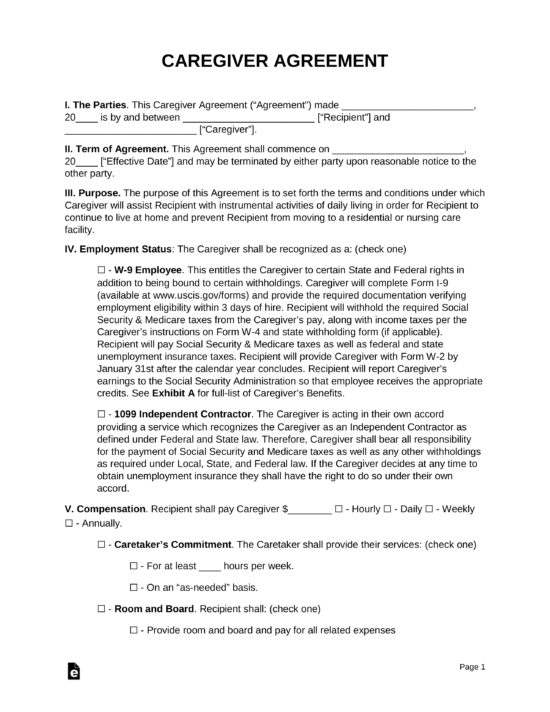
For the Purpose section, you can strengthen and clarify the language by avoiding wording that suggests the arrangement is tied to remaining in a private residence. Instead of stating that the agreement exists “to continue to live at home,” you could say:

“This Caregiver Agreement is intended to provide supplemental, non-medical support services to promote the Care Recipient’s comfort, wellbeing, dignity, and quality of life while residing in a long-term care facility.”

This framing makes clear that the services are supportive in nature and consistent with facility residency, which is important for Medicaid review purposes.

Regarding the Medicaid lookback, documentation is critical. Federal Medicaid law requires states to review asset transfers made within the five-year lookback period under 42 U.S.C. § 1396p(c). Payments made during that period must be for fair market value services; otherwise, they may be treated as uncompensated transfers, potentially triggering a penalty period.

To protect against that risk, you should:

  • Keep a signed written caregiver agreement in place before services are performed.
  • Maintain detailed invoices showing dates, hours worked, and specific services provided.
  • Keep receipts and bank records documenting payments.
  • Ensure compensation is consistent with fair market rates for similar non-medical caregiving services in your area.

States evaluate whether payments were legitimate compensation or disguised gifts. Thorough records demonstrating that all funds were spent for reasonable, market-value services that directly benefited your mother significantly reduce the risk of Medicaid imposing a transfer penalty during eligibility review.

If you’d like, I can also help you review the compensation structure to ensure it aligns with fair-market standards or suggest language that better protects against lookback scrutiny.

0

Caregiver Contract

Full Conversation


Modify caregiver agreement.

Lexi

Lexi, Chatbot

I understand that modifying a caregiver agreement can be a sensitive issue. What specific changes are you looking to make to the agreement?

Purpose section.

Lexi

Lexi, Chatbot

Are there any particular concerns or issues you've encountered with the current caregiver agreement?

Yes.

Liz

Liz

Hi there! My name is Liz and I’ve been an attorney for more than a decade, and I am here to assist with your legal concerns. So I can best help, what concerns do you have with your caregiver agreement?

Under the Purpose section III, it states “to continue to live at home.” My mother is in a Skilled Nursing Facility and will be placed in Long Term Care as she has nowhere else to go where care can be provided.

Liz

Liz

With the agreement, what care would the caregiver provide?

I would provide taking care of her financial affairs, bringing her personal items, food, errands, taking her out for walks in a wheelchair, emotional support, clothing, laundry, etc.

Liz

Liz

Rather than a caregiver agreement, have you considered power of attorney?

I already have that, but I’ve been advised that in order for her to apply for Medicaid, she can only have limited funds. By securing this agreement, I could move her funds to an account to pay for incidentals, bills, and reimburse myself for monies I’ve paid out of my own account.

Liz

Liz

With those funds, will you establish a trust? For Medicaid, they can look at transfers done within the previous 5 years to determine whether assets have been hidden. You can create the agreement and modify the purpose to reflect that it is to provide care beyond the day-to-day care provided at the facility.

There is limited money — approximately $15,000. I need to move her items out of her apartment, purchase a cremation contract, hire a moving company to move items into storage, etc. I think a trust is necessary. Just trying to cover expenses I will have without losing her funds to Medicaid.

Liz

Liz

A trust is not necessary.

Understood. Prepaying for storage could also be done. Purchases made for fair market value on necessary items are usually excluded from the lookback.

Back to my original question on the agreement I purchased — I would like to change the wording in Section III (Purpose) from “continue to live at home and prevent Care Recipient from moving to a residential or nursing care facility” to something relative to my current situation.

Liz

Liz

Understood. How can I assist? The forms are templates, so you can make changes.

I want to know what wording to use instead of the above that I could type into the agreement.

Also, in the lookback, if I have receipts for funds withdrawn from her account, is that sufficient?

Liz

Liz

For the Purpose section, you can strengthen and clarify the language by avoiding wording that suggests the arrangement is tied to remaining in a private residence. Instead of stating that the agreement exists “to continue to live at home,” you could say:

“This Caregiver Agreement is intended to provide supplemental, non-medical support services to promote the Care Recipient’s comfort, wellbeing, dignity, and quality of life while residing in a long-term care facility.”

This framing makes clear that the services are supportive in nature and consistent with facility residency, which is important for Medicaid review purposes.

Regarding the Medicaid lookback, documentation is critical. Federal Medicaid law requires states to review asset transfers made within the five-year lookback period under 42 U.S.C. § 1396p(c). Payments made during that period must be for fair market value services; otherwise, they may be treated as uncompensated transfers, potentially triggering a penalty period.

To protect against that risk, you should:

  • Keep a signed written caregiver agreement in place before services are performed.
  • Maintain detailed invoices showing dates, hours worked, and specific services provided.
  • Keep receipts and bank records documenting payments.
  • Ensure compensation is consistent with fair market rates for similar non-medical caregiving services in your area.

States evaluate whether payments were legitimate compensation or disguised gifts. Thorough records demonstrating that all funds were spent for reasonable, market-value services that directly benefited your mother significantly reduce the risk of Medicaid imposing a transfer penalty during eligibility review.

If you’d like, I can also help you review the compensation structure to ensure it aligns with fair-market standards or suggest language that better protects against lookback scrutiny.

Liz

Liz

Also, in the lookback, if I have receipts for funds withdrawn from her account, is that sufficient?

Liz

Liz

43,836 satisfied customers

Liz
Welcome! Have a similar question?

12 lawyers online now

0:00

By messaging AskALawyer, you agree to our Terms and Privacy Policy.

Angelo M
Angelo M

Managing Attorney, Juris Doctorate

4.57 (15,687)

[TX] How do I refile or modify child support, and can I handle it myself without hiring attorney?

10

3

Answered 3 weeks ago

Disclaimer


By messaging AskaLawyer.com, you agree to our Terms and have read our Privacy Policy.

The information provided on AskaLawyer.com is for general informational purposes only and does not constitute legal advice. While we strive to ensure the accuracy and timeliness of the information presented, we make no guarantees regarding its completeness or applicability to your specific circumstances.

Use of this website does not create an attorney-client relationship between you and AskaLawyer.com or any of its attorneys. Communications through this website, including any responses from attorneys, are not privileged or confidential. For advice tailored to your individual situation, we recommend consulting a licensed attorney in your jurisdiction.

AskaLawyer.com disclaims any liability for actions taken or not taken based on the content of this site. We are not responsible for any third-party content that may be accessed through this website. Reliance on any information provided herein is solely at your own risk.

Ask a Lawyer Logo
Ask a Lawyer Logo
Intake Questions
Step  of 3
Loading...

Lexi, Chatbot

How would you like your legal question to be answered?

Online

Legal AI

Using ChatGPT 4o

Loading...

How do you like to pay?

By proceeding with payment, you agree to our Terms and Privacy Policy. You authorize us to charge $ today and $ thereafter until canceled. You may cancel anytime in the My Account section to stop future charges.

Total Due:

After purchasing, your chat will begin with an attorney.

By proceeding with payment, you agree to our Terms and Privacy Policy. You authorize us to charge $ today and $ thereafter until canceled. You may cancel anytime in the My Account section to stop future charges.

Total Due:

After purchasing, your chat will begin with an attorney.

After connecting, your chat will begin with an attorney.

After choosing, your chat will continue with Legal AI.

It looks like you already have an account with Ask a Lawyer.

We have sent you a magic link to . Click the link in your email to sign in and continue your chat.

spin

Step of 6 •

You'll receive an email at as soon as the lawyer joins the conversation 🙏🏻😊

Over 90% of lawyers connect within 5 minutes. If you're not online at that moment, don't worry — the lawyer will reply to your message while you're away.

You're also welcome to stay in the chat while waiting to be connected 💬✨

Waiting for lawyer

0:00